Предмет: Алгебра,
автор: klsnk
Помогите пожалуйста! Даю 75 баллов
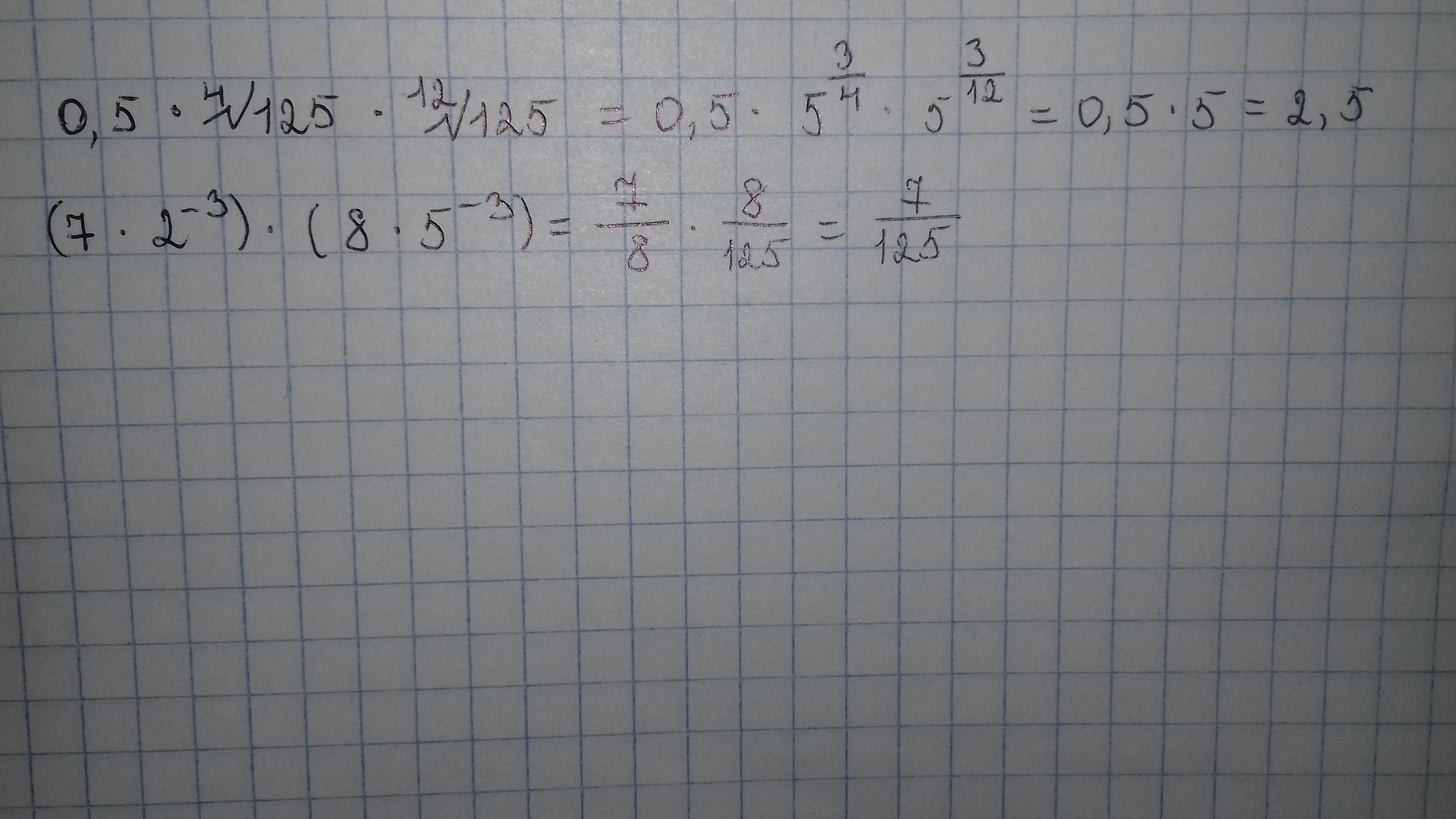
1) (7*2^-3)*(8*5^-3)
остальные 3 примера внизу
Приложения:
Ответы
Автор ответа:
0
Решение во вложении.
Приложения:
Похожие вопросы
Предмет: Другие предметы,
автор: Nenimftj358
Предмет: Русский язык,
автор: girgensonkarina
Предмет: Литература,
автор: sasham4
Предмет: Математика,
автор: мастер2222
Предмет: История,
автор: gigaenergy94