Предмет: Алгебра,
автор: mamadru
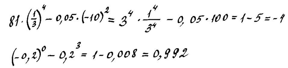
Помогите решить: 81*(1/3)^4-0.05*(-10)^2 и (-0.2)^0-0.2^3
Ответы
Автор ответа:
0
Решение в прикрепленном файле.
Приложения:
Похожие вопросы
Предмет: Русский язык,
автор: girgensonkarina
Предмет: Литература,
автор: sasham4
Предмет: Английский язык,
автор: dianaletcova
Предмет: История,
автор: gigaenergy94