Предмет: Алгебра,
автор: Bandeano
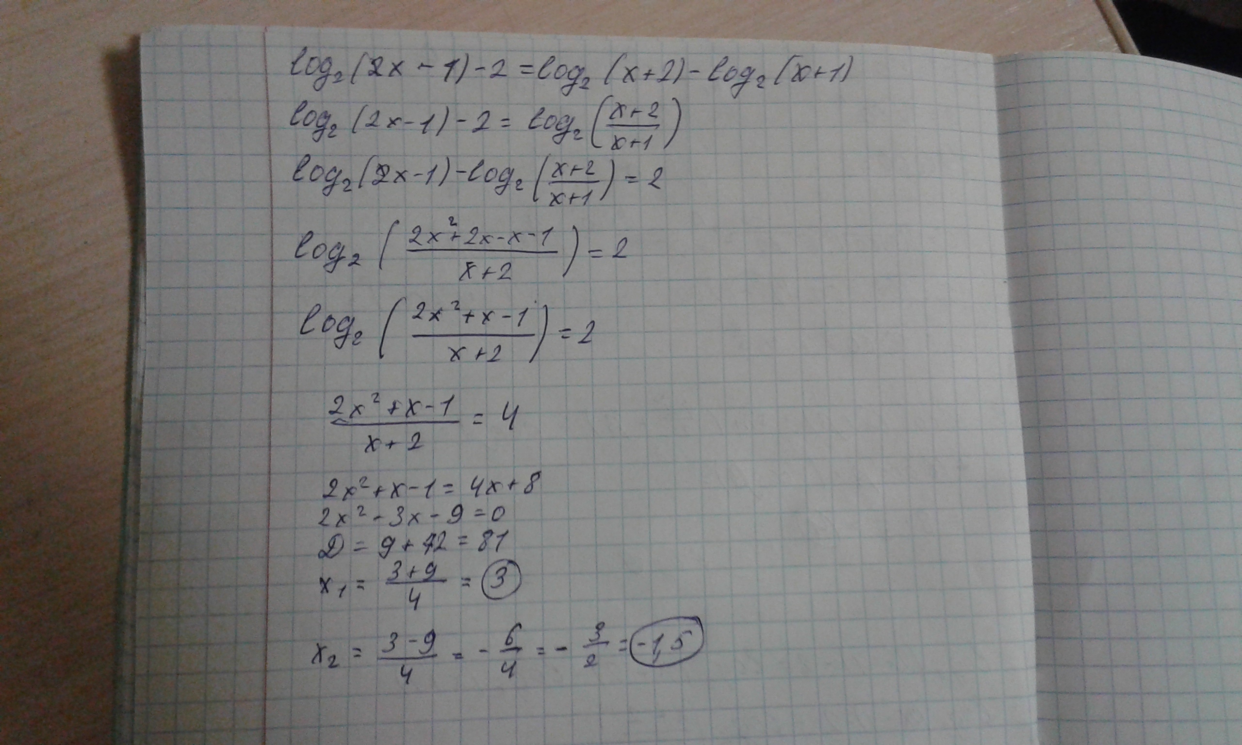
log2(2x-1)-2=log2(x+2)-log2(x+1) Решите уравнение
Ответы
Автор ответа:
0
........................
Приложения:
Похожие вопросы
Предмет: Химия,
автор: Violettamarkova
Предмет: География,
автор: oksanakrivcanska
Предмет: Литература,
автор: pavel16072008
Предмет: Математика,
автор: almaznoe
Предмет: Алгебра,
автор: Vikayakovleva13