Предмет: Геометрия,
автор: diman3104
Срочно.помогите!
1) осевым сечением цилиндра является прямоугольник,площадь которого 20см квадратных.
Высота цилиндра 4см квадратных
Найти: s боковую
2) диагонали осевого сечения (прямоугольника)
Образуют с плоскостью основания угол 60°.
Высота цилиндра 4см
Найти: s цилиндра
Ответы
Автор ответа:
0
1)
1. Диаметр цилиндра= сторона прямоугольника
d=20/4=5cv
2. Длина окружности основания
С=пd = 5п (п - число пи)
3. Площ. бок. пов.
S= 4* 5п=20п
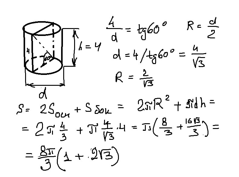
2)
1. (Высота)/(диаметр основания)=tg60 = V3
Диам. основания -d
d=4/(V3) r=2/(V3)
2. Площадь= 2*(площ основания)+ площ бок пов
S=2*п*(2/(V3))^2+ п*(4/(V3))*4= на вложении
1. Диаметр цилиндра= сторона прямоугольника
d=20/4=5cv
2. Длина окружности основания
С=пd = 5п (п - число пи)
3. Площ. бок. пов.
S= 4* 5п=20п
2)
1. (Высота)/(диаметр основания)=tg60 = V3
Диам. основания -d
d=4/(V3) r=2/(V3)
2. Площадь= 2*(площ основания)+ площ бок пов
S=2*п*(2/(V3))^2+ п*(4/(V3))*4= на вложении
Приложения:
Похожие вопросы
Предмет: Алгебра,
автор: nando9493sms
Предмет: Математика,
автор: annaevdokimova2708
Предмет: Право,
автор: vladikrealme
Предмет: Алгебра,
автор: воплотить
Предмет: Литература,
автор: Ewroppa