Предмет: Алгебра,
автор: Кариночка78
Помогите решить уравнение. Подробно.
Приложения:
Ответы
Автор ответа:
0
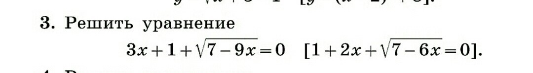
1
√(7-9x)=-3x-1
ОДЗ
{7-9x≥0⇒x≤7/9
{-3x-1≥0⇒x≤-1/3
x∈(-∞;-1/3]
возведем в квадрат
9x²+6x+1=7-9x
9x²+15x-6=0
3x²+5x-2=0
D=25+24=49
x1=(-5-7)/6=-2
x2=(-5+7)/6=1/3∉ОДЗ
2
√(7-6x)=-1-2x
ОДЗ
{7-6x≥0⇒x≤7/6
{-1-2x≥0⇒x≤-1/2
x∈(-∞;-1/2]
возведем в квадрат
1+4x+4x²=7-6x
4x²+10x-6=0
2x²+5x-3=0
D=25+24=49
x1=(-5-7)/4=-3
x2=(-5+7)/4=1/2∉ОДЗ
√(7-9x)=-3x-1
ОДЗ
{7-9x≥0⇒x≤7/9
{-3x-1≥0⇒x≤-1/3
x∈(-∞;-1/3]
возведем в квадрат
9x²+6x+1=7-9x
9x²+15x-6=0
3x²+5x-2=0
D=25+24=49
x1=(-5-7)/6=-2
x2=(-5+7)/6=1/3∉ОДЗ
2
√(7-6x)=-1-2x
ОДЗ
{7-6x≥0⇒x≤7/6
{-1-2x≥0⇒x≤-1/2
x∈(-∞;-1/2]
возведем в квадрат
1+4x+4x²=7-6x
4x²+10x-6=0
2x²+5x-3=0
D=25+24=49
x1=(-5-7)/4=-3
x2=(-5+7)/4=1/2∉ОДЗ
Похожие вопросы
Предмет: Биология,
автор: Lizo4ksgfuit
Предмет: Физика,
автор: polinavjwlsmmx
Предмет: Немецкий язык,
автор: hadjar
Предмет: Математика,
автор: Lavzen
Предмет: Литература,
автор: tytaevmax