Предмет: Алгебра,
автор: jeniamk
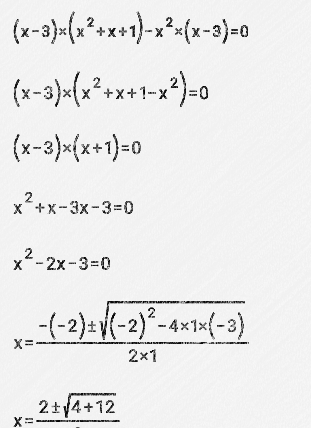
решите уравнение (x-3)(x^2+x+1)-x^2(x-3)=0
Ответы
Автор ответа:
0
Смотреть во вложении ( три фотографии)
Приложения:
Автор ответа:
0
-----------------------------------------
Приложения:
Похожие вопросы
Предмет: Математика,
автор: varabyov91
Предмет: Математика,
автор: ketsan
Предмет: Физика,
автор: lovelines
Предмет: Математика,
автор: polshikh2303
Предмет: Литература,
автор: makaruychevakv