Предмет: Химия,
автор: ksenak
Срочно!! решить уравнение реакций:
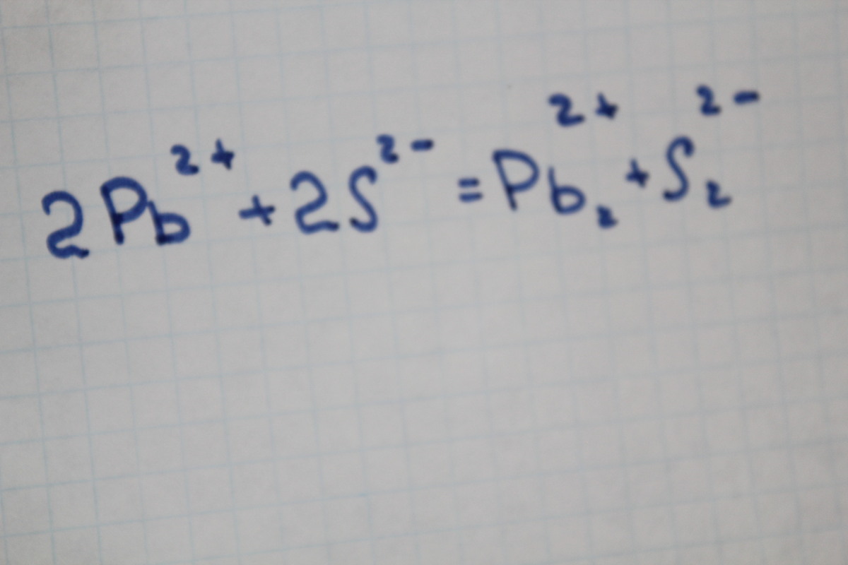
Pb + S =
HgO + HI =
Ответы
Автор ответа:
0
вот, проде правильно:)))
Приложения:
Похожие вопросы
Предмет: Математика,
автор: nuraybemidli
Предмет: Немецкий язык,
автор: 10673757
Предмет: Алгебра,
автор: Katyanugmanova2008
Предмет: Химия,
автор: Аноним