Предмет: Алгебра,
автор: овлаосгв
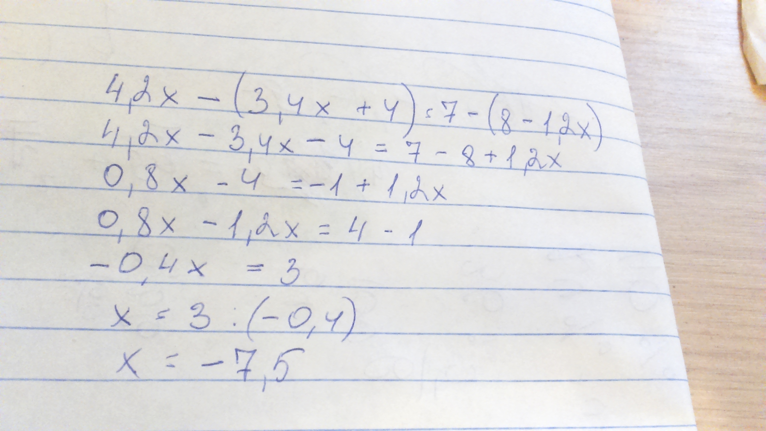
решите плиз уравнение 4.2х-(3.4х+4)=7-(8-1.2х)
Ответы
Автор ответа:
0
Вот. Всё просто. Если будут вопросы - напиши
Приложения:
Похожие вопросы
Предмет: Математика,
автор: lgadamurova
Предмет: Қазақ тiлi,
автор: Аноним
Предмет: Музыка,
автор: gfghhy2511
Предмет: Геометрия,
автор: Ilyashka
Предмет: Математика,
автор: roza2783