Предмет: Математика,
автор: АnДрей128806
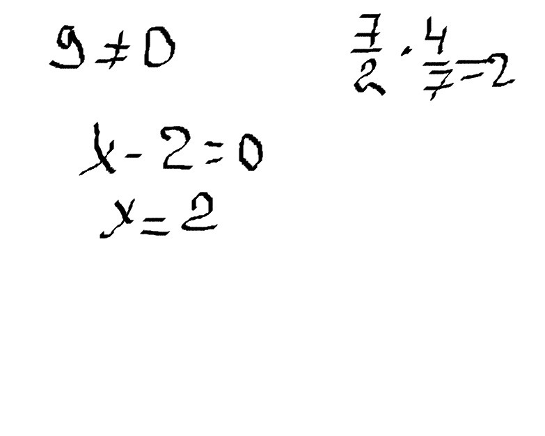
9(x-3 1/2*4/7)=0 помогите срочно надо=((((((
Ответы
Автор ответа:
0
Произведение равно 0, когда один или несколько множителей равно 0, =>
Приложения:
Похожие вопросы
Предмет: Алгебра,
автор: artemczen139
Предмет: Английский язык,
автор: HEROMahmud
Предмет: Математика,
автор: zum81912
Предмет: Литература,
автор: marinadukhnina