Предмет: Алгебра,
автор: Alive116
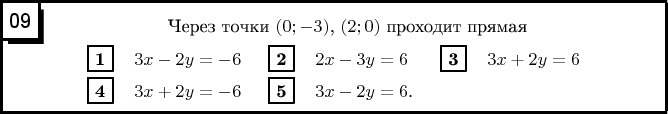
Пожалуйста помогите по алгебре отдам половину баллов
Приложения:
Ответы
Автор ответа:
0
надеюсь что правильно
Приложения:
Похожие вопросы
Предмет: Химия,
автор: Аноним
Предмет: Геометрия,
автор: jrsergeyaleinik
Предмет: Қазақ тiлi,
автор: segizbaevserik3
Предмет: Алгебра,
автор: KaktusForeVer