Предмет: Математика,
автор: madina2484
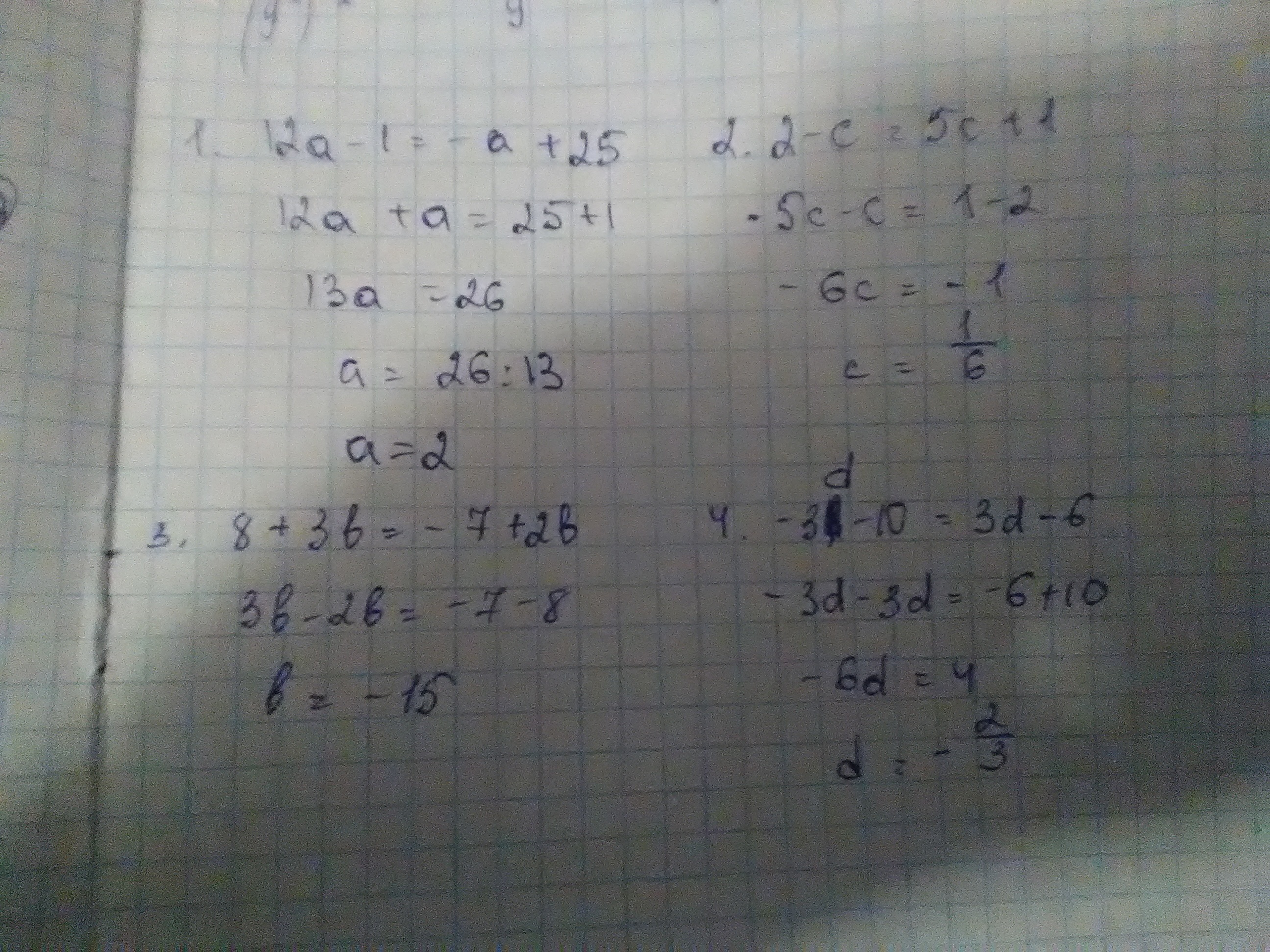
Найдите корни уравнений: 1) 12а - 1 = - а + 25; 2) 2 - с = 5с + 1; 3) 8 + 3b = - 7 +2b; 4) - 3b - 10 = 3d - 6; 5) 3y - 3 = 5 - y; 6) - 7 - 4x = - 7x + 5
Ответы
Автор ответа:
0
5.
3у-3=5-у
3у+у=5+3
4у=8
у=2
6.
-7-4х=-7х+5
7х-4х=5+7
3х=12
х=4
3у-3=5-у
3у+у=5+3
4у=8
у=2
6.
-7-4х=-7х+5
7х-4х=5+7
3х=12
х=4
Приложения:
Похожие вопросы
Предмет: География,
автор: sadovskaula52
Предмет: Физика,
автор: ajzanaralbaeva3
Предмет: Физика,
автор: Аноним
Предмет: Алгебра,
автор: mrvladkiselev
Предмет: Математика,
автор: софия55555