Предмет: Математика,
автор: komarik1005
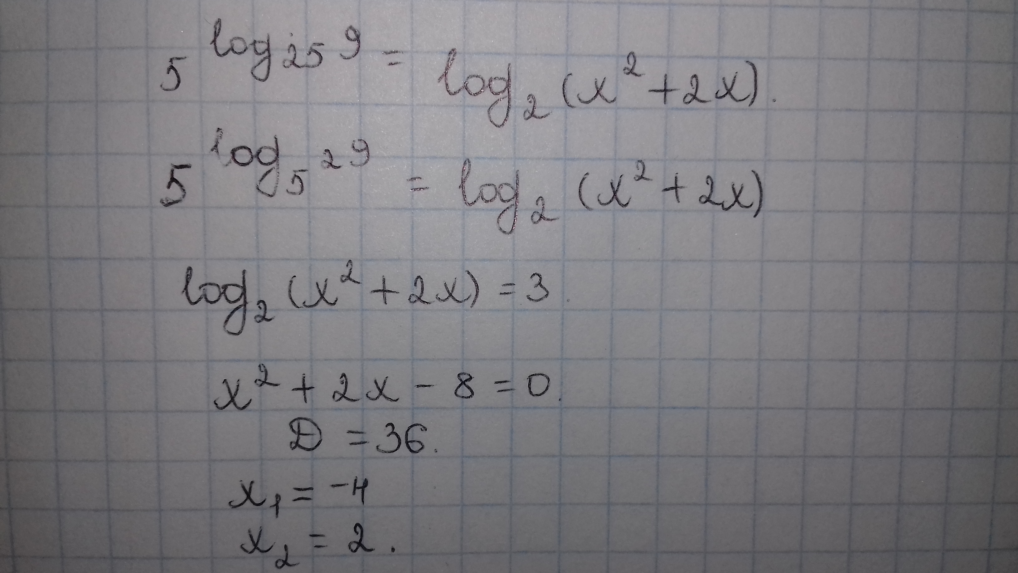
Найти произведение корней уравнения
5^(log25 9) = log2 (x^2 +2x)
Срочно. Пожалуйста
Ответы
Автор ответа:
0
Ответ:-8
______
______
______
______
Приложения:
Похожие вопросы
Предмет: История,
автор: darynmedet8
Предмет: Английский язык,
автор: krokodil1744
Предмет: Другие предметы,
автор: Seka14
Предмет: Литература,
автор: asya140520041
Предмет: Алгебра,
автор: katia2101