Предмет: Алгебра,
автор: Анастасия4766
ПОМОГИТЕ ПОЖАЛУЙСТА СРОЧНО!!!!
Приложения:
Ответы
Автор ответа:
0
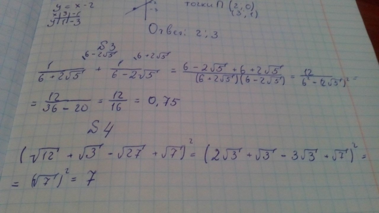
Что не понятно на фото, пишите)
Приложения:
Автор ответа:
0
Спасибо большое,все понятно)
Похожие вопросы
Предмет: Алгебра,
автор: marlentoper
Предмет: Алгебра,
автор: kimzinaida
Предмет: Математика,
автор: rifatmaksutov039
Предмет: Алгебра,
автор: Sveta20913
Предмет: Алгебра,
автор: aslan0beridze