Предмет: Математика,
автор: Gleb20052907
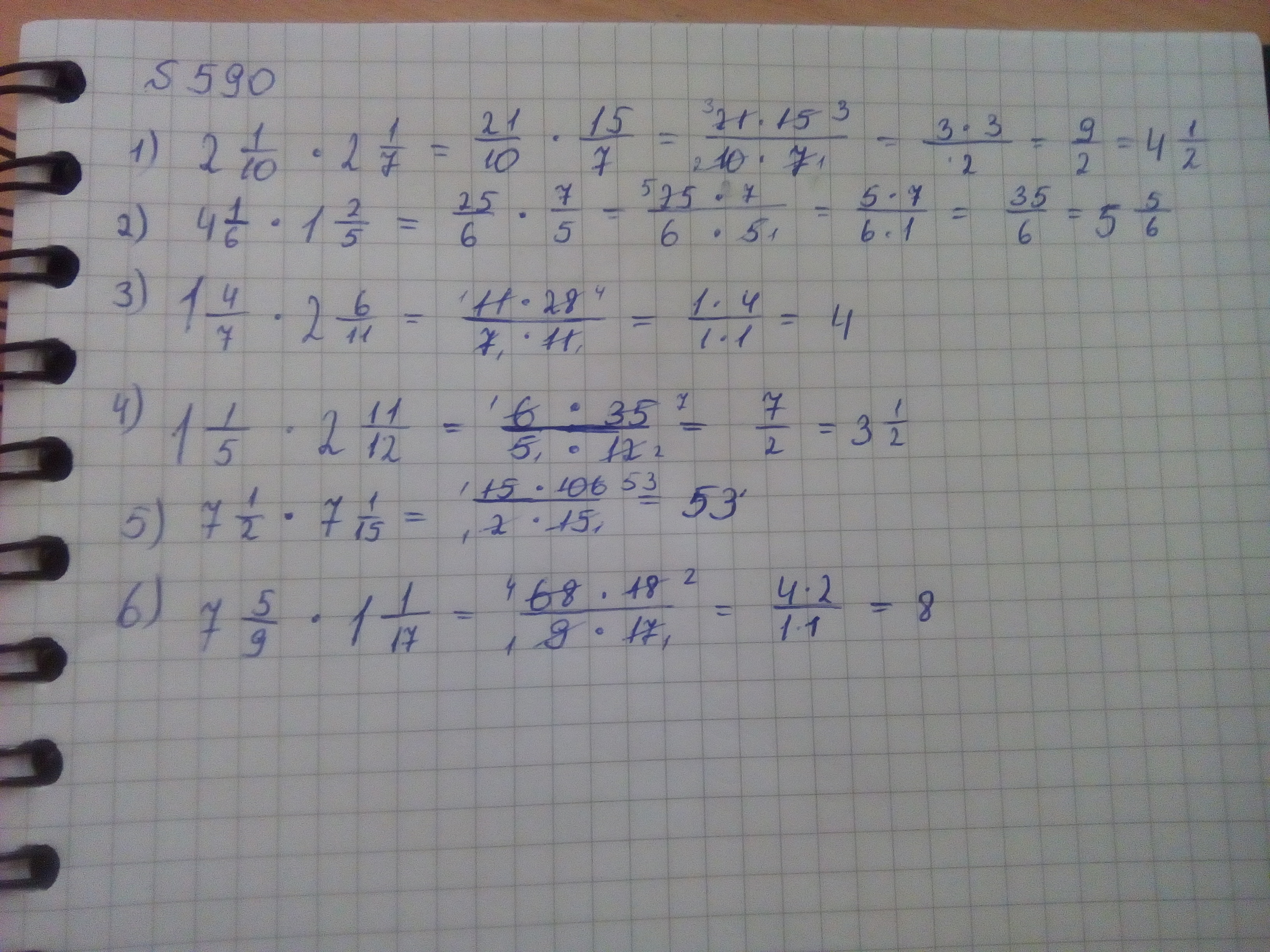
помогите срочно решить н 590
Приложения:
Ответы
Автор ответа:
0
Ответ во вложении. Вроде понятно расписала
Приложения:
Автор ответа:
0
Спасибо
Похожие вопросы
Предмет: Українська мова,
автор: 2345678234567778
Предмет: География,
автор: druzinila90
Предмет: Окружающий мир,
автор: Аноним
Предмет: Алгебра,
автор: Масіпусічка
Предмет: История,
автор: Nastena030503