Предмет: Математика,
автор: Аноним
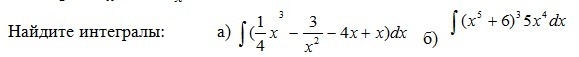
Помогите найти интегралы, пожалуйста:
Приложения:
Ответы
Автор ответа:
0
Решение в прикрепленных файлах.
Приложения:
Автор ответа:
0
Вы просто чудо для меня, одна бы я ещё долго ковырялась, спасибо огромное
Автор ответа:
0
https://znanija.com/task/22329726 помогите, пожалуйста!!!
Автор ответа:
0
https://znanija.com/task/22329822
Похожие вопросы
Предмет: Русский язык,
автор: dranicek
Предмет: Русский язык,
автор: SCARlixON
Предмет: Математика,
автор: lisnmasha
Предмет: Право,
автор: burbon18
Предмет: Алгебра,
автор: KATYAxxx01