Предмет: Алгебра,
автор: Rustem1899
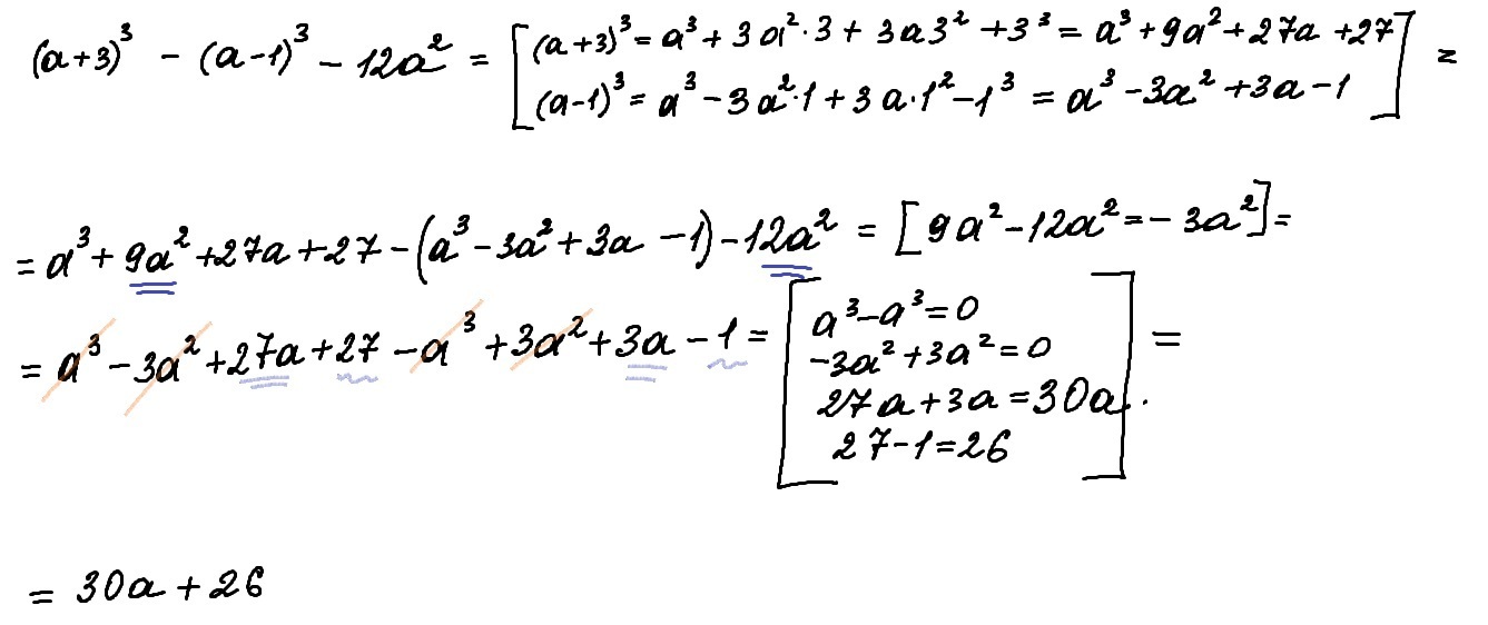
(а+3)^3-(а-1)^3-12а^2 упростить выражение
Ответы
Автор ответа:
0
Решение в прикрепленном файле.
В квадратных скобках пояснение какие действия выполняются.
В квадратных скобках пояснение какие действия выполняются.
Приложения:
Похожие вопросы
Предмет: Биология,
автор: egork4150
Предмет: Химия,
автор: changbinniie
Предмет: Английский язык,
автор: azamatulydaulet
Предмет: Физика,
автор: SupernaturalWin
Предмет: Математика,
автор: irishakorchagi1