Предмет: Математика, автор: Evgeny123123123

Решите уравнение
1) 2sin²x sin x= 0
2)4sinx²- 8sinx·cosx+10cos²x= 3

Ответы

Автор ответа: Trover
0
1);2sin^2x-sin x=0\sin x(2sin x-1)=0\begin{cases}sin x=0\2sin x-1=0end{cases}Rightarrowbegin{cases}sin x=0\sin x=frac12end{cases}Rightarrowbegin{cases}x=pi n\x=(-1)^ncdotfracpi6+pi nend{cases},;ninmathbb{Z}

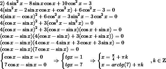
2);4sin^2x-8sin xcos x+10cos^2x=3\4(sin^2x-2sin xcos x+cos^2x)+6cos^2x-3=0\4(sin x-cos x)^2+6cos^2x-3sin^2x-3cos^2x=0\4(cos x-sin x)^2+3(cos^2x-sin^2x)=0\4(cos x-sin x)^2+3(cos x-sin x)(cos x+sin x)=0\(cos x-sin x)(4(cos x-sin x)+3(cos x+sin x))=0\(cos x-sin x)(4cos x-4sin x+3cos x+3sin x)=0\(cos x-sin x)(7cos x-sin x)=0
begin{cases}cos x-sin x=0\7cos x-sin x=0end{cases}Rightarrowbegin{cases}tg x=1\tgx=7end{cases}Rightarrowbegin{cases}x=fracpi4+pi k\x=arctg(7)+pi kend{cases},kinmathbb{Z}
Приложения:
Похожие вопросы
Предмет: Литература, автор: Olegnag