Предмет: Математика, автор: Maksimka0077

5:6 в десятичную дробь (с подробным обьяснением)

Ответы

Автор ответа: IrkaShevko
0
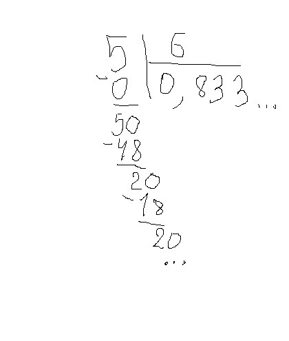
делим уголком, можно заметить, что у нас 3 будет повторяться бесконечное кол-во раз, это будет период данной десятичной дроби, записывается так:

0,8(3)
Приложения:
Автор ответа: Maksimka0077
0
Спасииибо огромное
Автор ответа: Maksimka0077
0
Просто я учусь в 6 классе
Похожие вопросы
Предмет: Химия, автор: SpudeMan