Предмет: Математика,
автор: Bimo11111
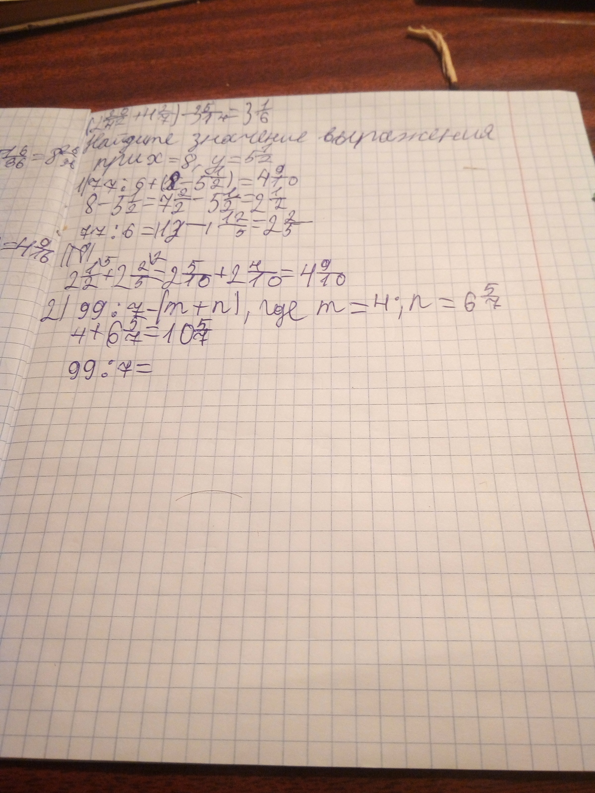
99:7-(4+6 целых пять седьмых)решите плиз
Приложения:
Ответы
Автор ответа:
0
99/7-10 5/7 =99/7-75/7=24/7= 3 3/7 ( / это знак дроби )
Похожие вопросы
Предмет: Литература,
автор: amirhanshaikenov
Предмет: Українська мова,
автор: IvanSid06
Предмет: Математика,
автор: Аноним
Предмет: Математика,
автор: Ксения060600
Предмет: Математика,
автор: sandra2497