Предмет: Геометрия,
автор: VashePravo
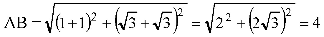
как получилось 4? объясните пожалуйста.................
Приложения:
Ответы
Автор ответа:
0
!!!!!!!!!!!!!!!!!!!!!!!!!!
Приложения:
Похожие вопросы
Предмет: Геометрия,
автор: mihaelbmw777
Предмет: Математика,
автор: artemkabanov214
Предмет: Другие предметы,
автор: svetlanatohtieva10
Предмет: Литература,
автор: vladakir52
Предмет: Химия,
автор: Eнот