Предмет: Алгебра, автор: Liza290600

Помогите пожалуйста решить систему уравнений!

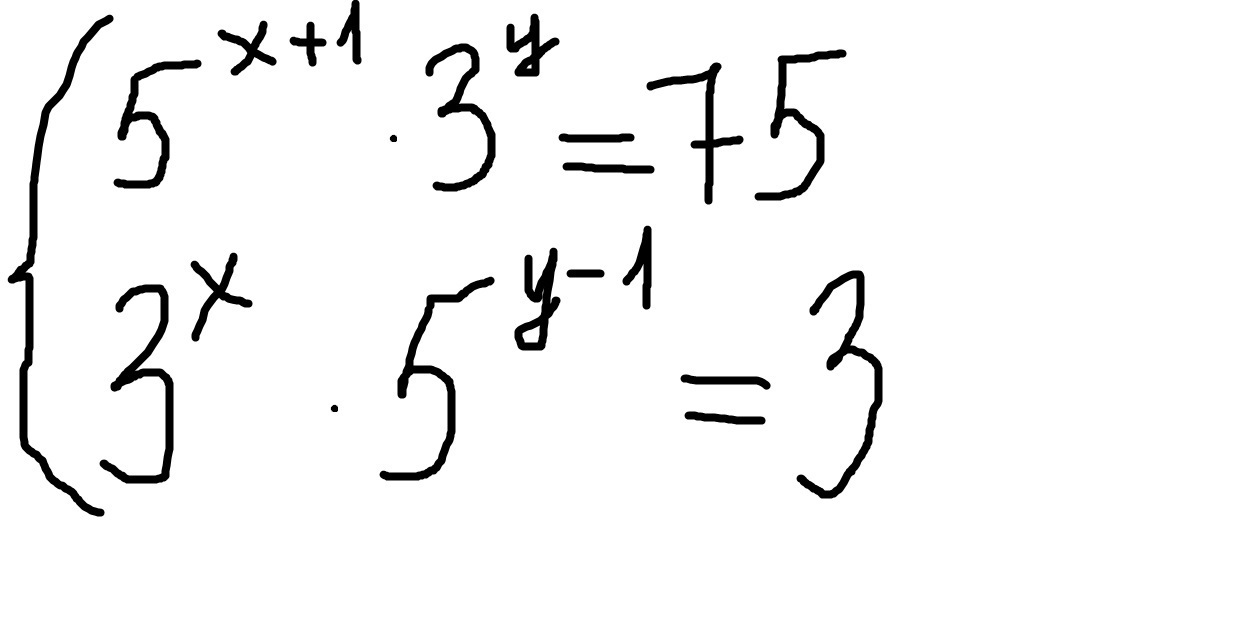
Приложения:

Ответы

Автор ответа: nafanya2014
0
 left { {{5cdot 5^xcdot 3^y=75} atop {3^xcdot5^ycdot frac{1}{5} =3}} right.  \  \  left { {{ 5^xcdot 3^y=15} atop {3^xcdot5^y =15}} right.  \  \

Равенства возможны при х=у=1
Других решений нет, так как произведение двух возрастающих функций
g(x)=3^x    и   h(y)=5^y  функция возрастающая, т.е каждое свое значение принимает в единственной точке.
О т в е т. (1;1)
Похожие вопросы
Предмет: Математика, автор: kaiodima6
Предмет: Математика, автор: aricharrd
Предмет: Математика, автор: Алсуня2015