Предмет: Алгебра,
автор: СойФонг2
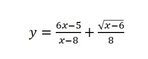
Знайти область визначення функції.
Приложения:
Ответы
Автор ответа:
0
X принадлежит [6;8)и(8;+$)
Похожие вопросы
Предмет: Физика,
автор: nikitakusnir5
Предмет: География,
автор: hite027z
Предмет: Литература,
автор: vivsepidarasi
Предмет: История,
автор: yakovzarovnyaev
Предмет: Алгебра,
автор: sevgisaradzheva