Предмет: Физика,
автор: 19dantes10
Прошу помогите с физикой. В сосуд, содержащий 1,5 кг воды при 15°С, впускают 200 г водяного пара при 100°С. Какая общая температура установится после конденсации пара?
Ответы
Автор ответа:
0
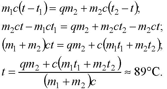
Ответ: t= (Приблизительно) 89
Приложения:
Автор ответа:
0
спасибо
Автор ответа:
0
Составим уравнение теплового баланса
c*m1*(T-t1)=L*m2+c*m2*(t2-T), где c - теплоемкость воды, m1=1,5 кг, m2=0,2 кг, t1=15°C, t2=100°C, L-удельная теплота парообразования, T-искомая температура. C=4200 Дж∙кг/°C, L=2260000 Дж/кг. Из уравнения
T=(L*m2+c*m2*t2+c*m1*t1)/(c*m1+c*m2)=88,3°C
c*m1*(T-t1)=L*m2+c*m2*(t2-T), где c - теплоемкость воды, m1=1,5 кг, m2=0,2 кг, t1=15°C, t2=100°C, L-удельная теплота парообразования, T-искомая температура. C=4200 Дж∙кг/°C, L=2260000 Дж/кг. Из уравнения
T=(L*m2+c*m2*t2+c*m1*t1)/(c*m1+c*m2)=88,3°C
Приложения:
Похожие вопросы
Предмет: Другие предметы,
автор: safinakhristyuk
Предмет: Алгебра,
автор: danilpetrov170p6p18k
Предмет: Литература,
автор: qwertpxl
Предмет: Математика,
автор: violet2611
Предмет: Алгебра,
автор: втпцпр57