Предмет: Математика,
автор: 565789943
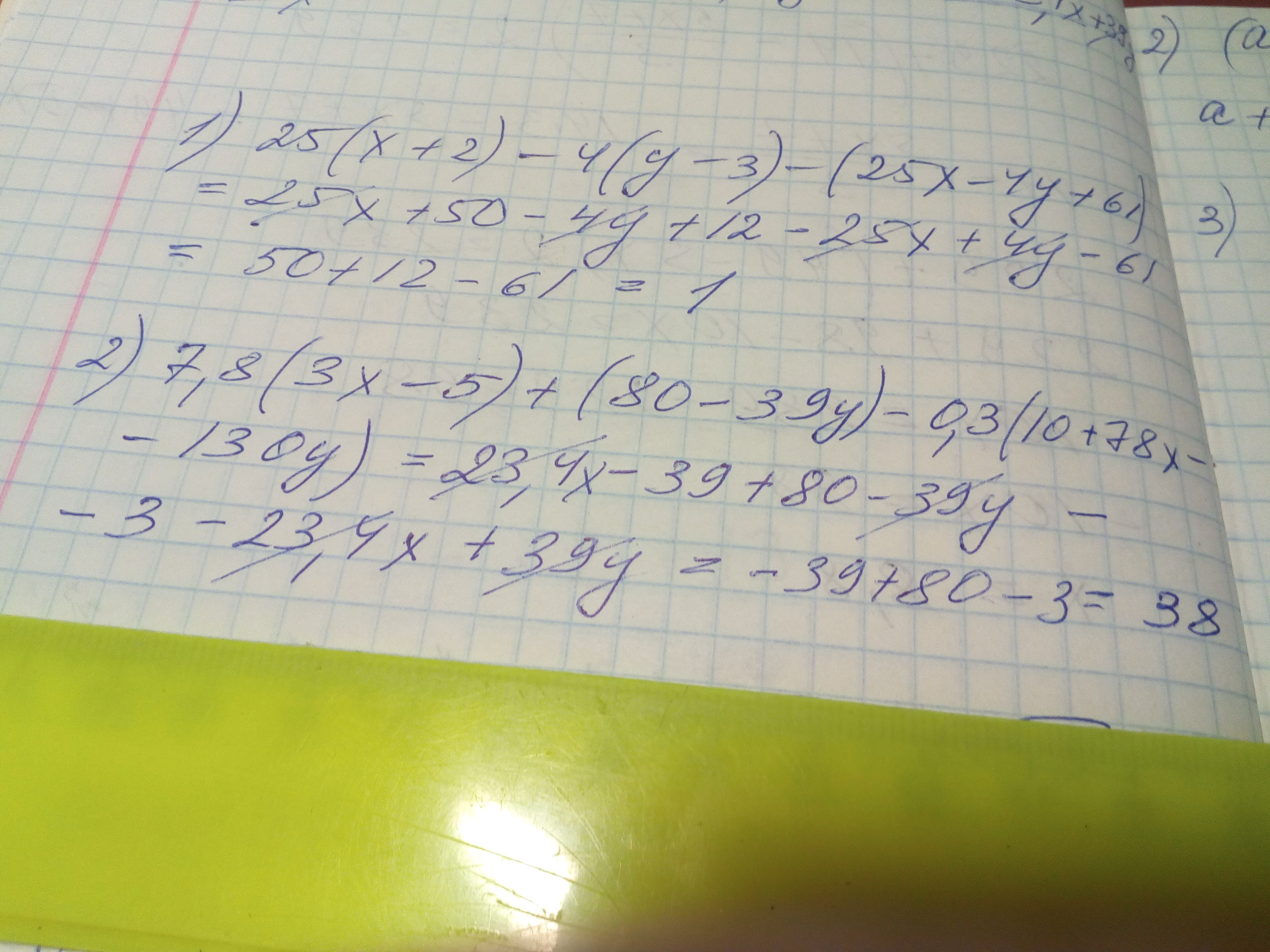
Докажите, что при любых значениях x и y является натуральным числом значение выражения:
1)25(x+2)-4(y-3)-(25x-4y+61)
2)7.8(3x-5)+(80-39y)-0.3(10+78x-130y)
Ответы
Автор ответа:
0
Ответ:..........................
Пошаговое объяснение:
Приложения:
Похожие вопросы
Предмет: Математика,
автор: Аноним
Предмет: Английский язык,
автор: abelladanger
Предмет: Физика,
автор: govno636
Предмет: Литература,
автор: mudrovpavel
Предмет: География,
автор: legenda22865