Предмет: Математика,
автор: Alina7611
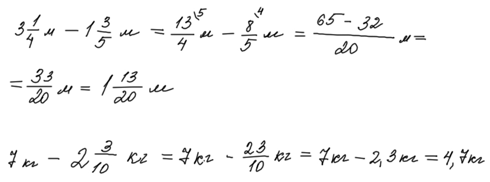
Найдите разность величин
Приложения:
Ответы
Автор ответа:
0
Решение в прикреплённом файле.
Приложения:
Похожие вопросы
Предмет: Физика,
автор: nya7896
Предмет: Литература,
автор: kra4polina
Предмет: Русский язык,
автор: artemvarlamov2020
Предмет: Химия,
автор: keti2698
Предмет: Математика,
автор: lsaisa