Предмет: Математика,
автор: shpont
Ребят помогите пож-та с производн. функциями..)
Желательно по подробнее чтобы понятно было
Заранее спасибо!
Приложения:
Ответы
Автор ответа:
0
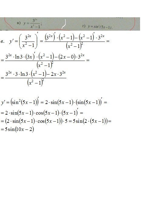
решение во вложении-----------------------
Приложения:
Похожие вопросы
Предмет: Математика,
автор: 87027081828tex
Предмет: Математика,
автор: arai899113
Предмет: Математика,
автор: GalacticCat2008
Предмет: Алгебра,
автор: nikylj
Предмет: Физика,
автор: ника561