Предмет: Математика, автор: ba1ina

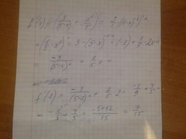
F(x)=3/(5-x) + x^2/5 найти f'(2)

Ответы

Автор ответа: IrkaShevko
0
f'(x) =  -frac{3}{(5-x)^2} +  frac{2x}{5} \
f'(2) = - frac{3}{9} + frac{4}{5} = frac{36-15}{45} = frac{21}{45} = frac{7}{15}
Автор ответа: Аноним
0
)))))))))))
Автор ответа: Аноним
0
фото///////////////////////////////////////////////////
Приложения:
Похожие вопросы
Предмет: Английский язык, автор: vika8865