Предмет: Математика,
автор: makenov1994
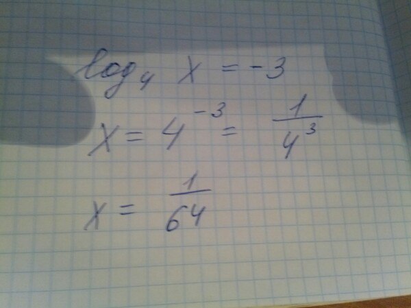
Определите x, если log4 x = -3
Ответы
Автор ответа:
0
х=4^(-3)
х=1/4^3
х=1/64
х=1/4^3
х=1/64
Автор ответа:
0
2умножить на 3 в квадрате х+3 -5 умноженное на 3 в квадрате х-2=1443
Автор ответа:
0
смотри фото..................................................
Приложения:
Автор ответа:
0
прикрепить нужно
Автор ответа:
0
вы тут
Автор ответа:
0
я сейчас на аватар себе поставлю фото поможете решить? очень надо сам не могу не получается
Автор ответа:
0
ну давайте,посмотрю
Автор ответа:
0
блин а как фото прикрипить я просто тут впервые
Похожие вопросы
Предмет: Другие предметы,
автор: sahruhsulejmenov
Предмет: Математика,
автор: akmalxojibekov
Предмет: Қазақ тiлi,
автор: shaikhestanarai
Предмет: Математика,
автор: ivanpronin2007
Предмет: Математика,
автор: тимурчик56