Предмет: Математика,
автор: kutasova2012
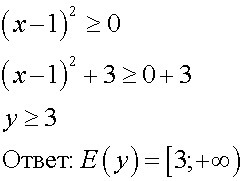
Найдите область значений функции у=(х-1)^2-3
Ответы
Автор ответа:
0
Найдем вершину параболы
х^2-2x+1-3=0
x^2-2x-2=0
x0=2/2=1
y0(x0)=1-2-2= -3
следовательно область значения [-3;+бесконечность)
х^2-2x+1-3=0
x^2-2x-2=0
x0=2/2=1
y0(x0)=1-2-2= -3
следовательно область значения [-3;+бесконечность)
Автор ответа:
0
разве функция не может иметь значения от минус бесконечности до плюс бесконечности?
Автор ответа:
0
Парабола нет
Автор ответа:
0
у нее есть предел, так как имеет предел (вершину )
Автор ответа:
0
Не смогла написать маленькие цифры, поэтому так.
Приложения:
Похожие вопросы
Предмет: Литература,
автор: sabinadsr2006
Предмет: Математика,
автор: Аноним
Предмет: Окружающий мир,
автор: M00ne
Предмет: Математика,
автор: sarbon
Предмет: Литература,
автор: AdilBerlnton