Предмет: Математика,
автор: nick279
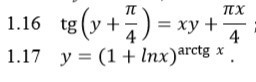
Найти производные.
Прошу с ходом решения
к вопросу прилагаю фото.
Приложения:
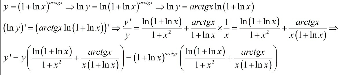
Ответы
Автор ответа:
0
решение смотри во вложении
Приложения:
Автор ответа:
0
Большое спасибо!
Похожие вопросы
Предмет: Алгебра,
автор: playgames04
Предмет: Информатика,
автор: miraclemiracle642
Предмет: История,
автор: nikitastrahov989
Предмет: Физика,
автор: Черепашканиндзя228
Предмет: Математика,
автор: adelina20000