Предмет: Математика,
автор: кирюша30
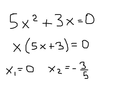
5х в квадрате +3х = 0
Ответы
Автор ответа:
0
Смотреть скрин
------------------------
------------------------
Приложения:
Похожие вопросы
Предмет: Алгебра,
автор: karolinakeimiost
Предмет: Русский язык,
автор: korolevakrasotykejt
Предмет: Другие предметы,
автор: rikkelkarina65
Предмет: Математика,
автор: dashasuslova10
Предмет: Математика,
автор: ruslankarimov2