Предмет: Алгебра,
автор: weasp
Помогите пожалуста срочно надо
Приложения:
Ответы
Автор ответа:
0
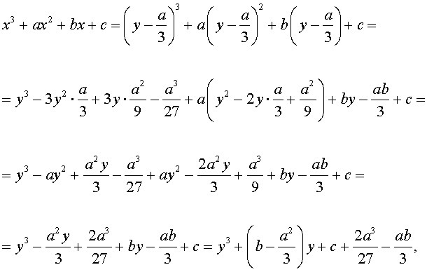
вот так это будет. смотри вложение
Приложения:
Похожие вопросы
Предмет: Алгебра,
автор: aerobokzal25
Предмет: Алгебра,
автор: blackwolf5112
Предмет: Математика,
автор: iigrok093
Предмет: Алгебра,
автор: laysanrayanova