Предмет: Математика,
автор: sashka221095
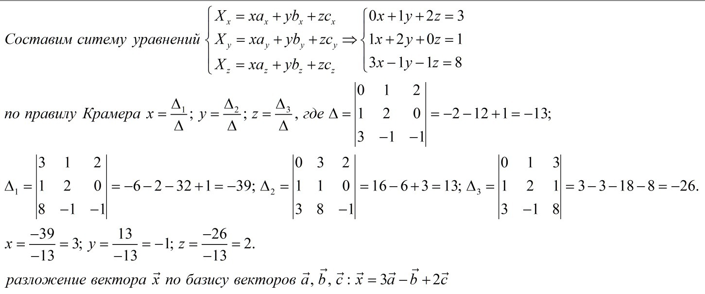
Найти координаты вектора x в базисе {a,b,c}:
Указание: при решении системы применить правило Крамера
x={ 3, 1, 8 }, a ={ 0, 1, 3 }, b ={ 1, 2, -1 }, c={ 2, 0, -1 }
Ответы
Автор ответа:
0
решение смотри во вложении
Приложения:
Похожие вопросы
Предмет: Биология,
автор: elizavetakoval050608
Предмет: Қазақ тiлi,
автор: firdaustlekkabyl
Предмет: Алгебра,
автор: katyaaaa74
Предмет: Математика,
автор: ПЕПАА
Предмет: Математика,
автор: flex777v