Предмет: Алгебра,
автор: Росинант
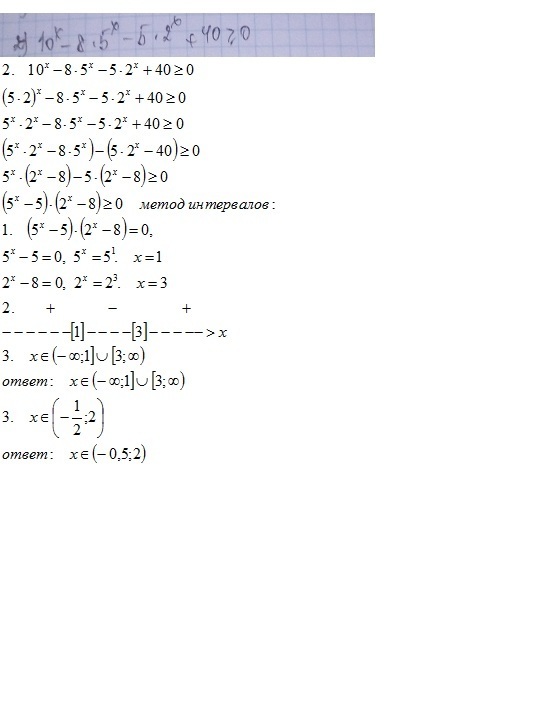
Решите пожалуйста очень срочно нужно... (Там де дз)
Приложения:
Ответы
Автор ответа:
0
решение во вложении------------------
Приложения:
Похожие вопросы
Предмет: Немецкий язык,
автор: scarlett84
Предмет: Русский язык,
автор: Аноним
Предмет: Английский язык,
автор: nephronephrolorlova5
Предмет: Математика,
автор: Danil514tlt
Предмет: Математика,
автор: dekurilko