Предмет: Алгебра, автор: Zontuk1999

Решить пример на рисунке (желательно с объяснениями)

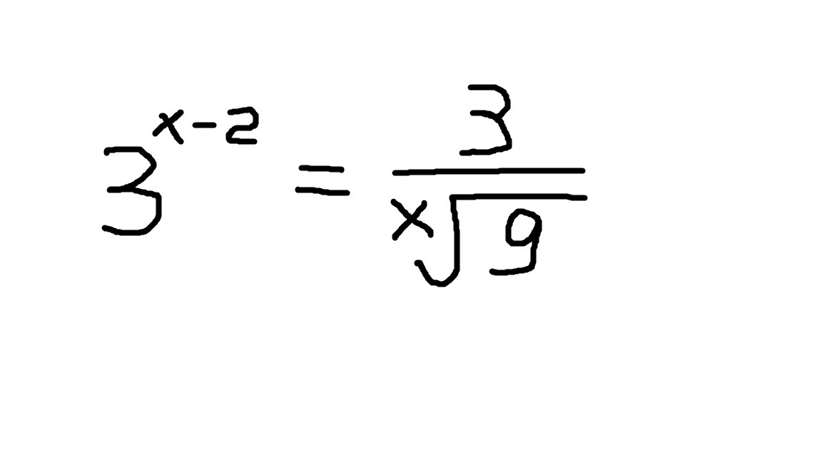
Приложения:

Ответы

Автор ответа: skyne8
0
3^(х-2)=3*9^(-1/х)=3*(3^2)^(-1/х)=
3*3^(-2/х)=3^(1-2/х)=3^((х-2)/х),
3^(х-2)=3^((х-2)/х), х-2=(х-2)/х,
1=1/х, х=1.
Автор ответа: Zontuk1999
0
Не понятно, что здесь написано. Вы можете скинуть решение графически при помощи paint?
Автор ответа: Zontuk1999
0
Вы можете более внятно написать? Иначе я не зачту ответ.
Автор ответа: oganesbagoyan
0
! x-2=(x-2)/x ⇔ (x-1)(x-2) /x =0
Похожие вопросы
Предмет: Русский язык, автор: ilagabricidze
1. Перепишите текст, раскройте скобки, вставьте пропущенные буквы и где необходимо расставьте знаки препинания. 1. Северное сияние это зрелище необыч..йной кр..cоты. 2. Смотр .... на него-и (не) вер..ш .. своим гл..зам. 3.Я никогда (не) упускаю случ..я полюбоват..ся северным сиянием но вп..рвые мне п..счас.ливилось его увидеть (на) бер..rу Онежского оз..ра. 4.В полноч .. я вышел на улицу. 5. (Над) оз.ром ст..яла тиш .., которую изре ... ка нарушали лай с..баки и голос какой-то ноч..ной птиц. 6.А в звёз.н..м небе колыхался св.тящ.йся занав..с.7. Он сужался ра .... рялся соб..рался в скла (д \ т) ки м.нял цвет. 8. (На) фоне неба в.днелись ч..рные м.кушки д..рев..ев крыш .. домов.9. Я был оч..рован ..дес ... ным в..дением и сохр..нил это во..поминание на всю ж..знь. 10. Враг х..тел пир..вать а пришлось гор. вать. 2.Озаглавьте текст. 3. Определите основную тему текста. 4.Определите тип текста. 5.Из первого абзаца выпишите относительные прилагательные. 6.Из 2 абзаца выпишите слова, правописание приставки зависит от звонкости -глухости согласного. 7.Из 1 абзаца выписать глаголы 2лица, единственного числа, настоящего времени. 8. Из 2 абзаца выписать слово с чередующей гласной е-и в корне слова. 9. Из 2 абзаца выписать возвратный глагол 3 лица, множественного числа, прошедшего времени. 10. Подберите антоним к слову тишь. 11. Укажите номер сложноподчиненного предложения. 12.Укажите номер простого предложения с однородными позвоними. 13. Выделите морфемы в словах: Видением, северным, полюбоваться. 14. Произведите морфологический разбор существительного: над озером 15. Произведите синтаксический разбор 7 предложений.
Предмет: География, автор: kravcovairra
Предмет: Математика, автор: VasiliyPetrenko