Предмет: Алгебра, автор: КавабангаДэпоКолибри

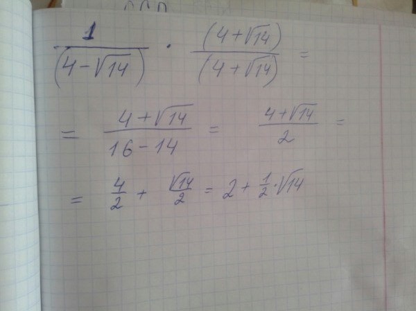
 frac{1}{4 -  sqrt{14} } помогите решить, пожалуйста

Ответы

Автор ответа: SVETA1951TIT
0
файл.............................
Приложения:
Автор ответа: witch2
0
квадрат из 14 так и остаётся, квадрат из 14,
он не извлекается!
Автор ответа: SVETA1951TIT
0
вы не верно пишите, не квадрат из 14, а корень квадратный из 14 не извлекается. Я решила все верно.
Похожие вопросы
Предмет: Право, автор: salammaleky573