Предмет: Физика,
автор: 13Angel13
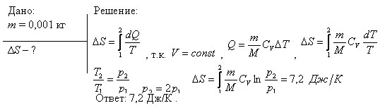
Водород массой м=1г находится при нормальных условиях. При изохорическом нагревании давление Р газа увеличилось в 2раза. Определите изменения энтропии и переданное ему количество теплоты.
Ответы
Автор ответа:
0
............................................................................................................................
Приложения:
Автор ответа:
0
а по подробнее можно?)
Похожие вопросы
Предмет: Алгебра,
автор: pasecnikl809
Предмет: Геометрия,
автор: timlena1980
Предмет: Алгебра,
автор: Dasha1000a
Предмет: Информатика,
автор: умник1488
Предмет: Алгебра,
автор: BlackWhi