Предмет: Алгебра,
автор: masha83521masha835
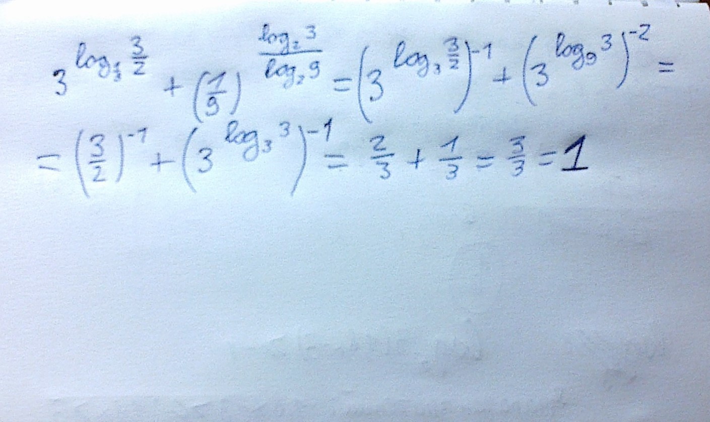
3^log 1/3 3/2 +(1/9)^ log 2 3/ log 2 9
Ну или хотя бы скажите как решить: 3^ log 1/3 3/2
Ответы
Автор ответа:
0
*универсальный удлинитель сообщения*
Приложения:
Автор ответа:
0
спасибо)
Похожие вопросы
Предмет: Қазақ тiлi,
автор: zanelzanat301
Предмет: Математика,
автор: ktoto246
Предмет: Литература,
автор: Аноним
Предмет: Математика,
автор: es190865