Предмет: Математика,
автор: 45d
решите пжл что вам не сложно, кроме двух первых номеров
Приложения:
Ответы
Автор ответа:
0
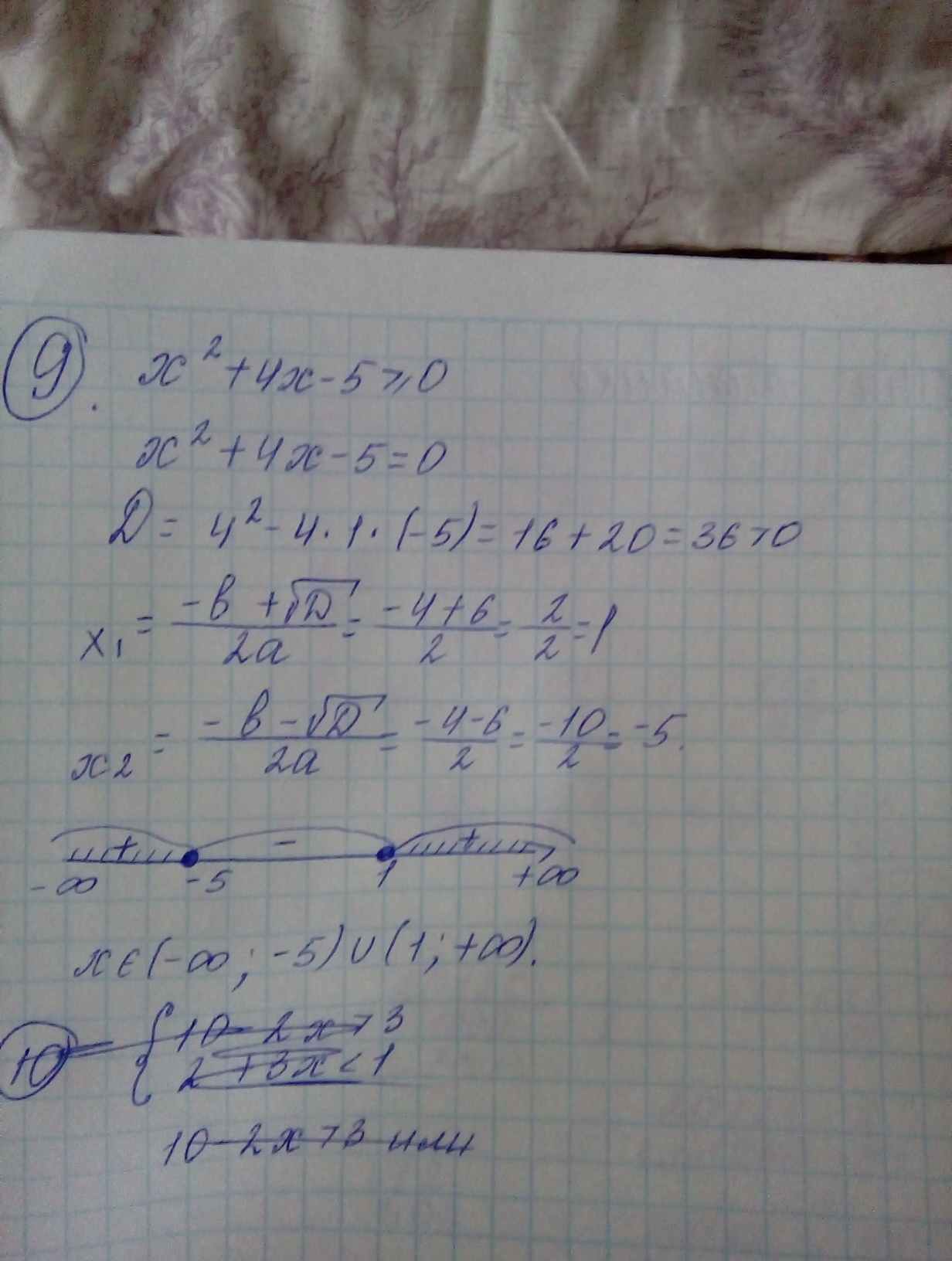
Только 9 смогла решить)
Приложения:
Похожие вопросы
Предмет: Математика,
автор: Аноним
Предмет: Математика,
автор: ARTEM123784
Предмет: Химия,
автор: viktoriaperminov
Предмет: Математика,
автор: vasilinatarutina
Предмет: Алгебра,
автор: arinaсупер