Предмет: Алгебра,
автор: cystan98
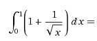
Вычислить определенный интеграл
Приложения:
Ответы
Автор ответа:
0
решение.........................
Приложения:
Автор ответа:
0
спасибо,можешь еще вычислить неопределенный?В моих заданиях глянь ка
Автор ответа:
0
там вон кто-то умный уже решает)
Похожие вопросы
Предмет: Химия,
автор: crazydream8002
Предмет: Русский язык,
автор: fejsovicramazan
Предмет: Математика,
автор: Sasha2020schol
Предмет: Математика,
автор: aidarhan069j
Предмет: Биология,
автор: irinka6