Предмет: Математика,
автор: ксюхик1
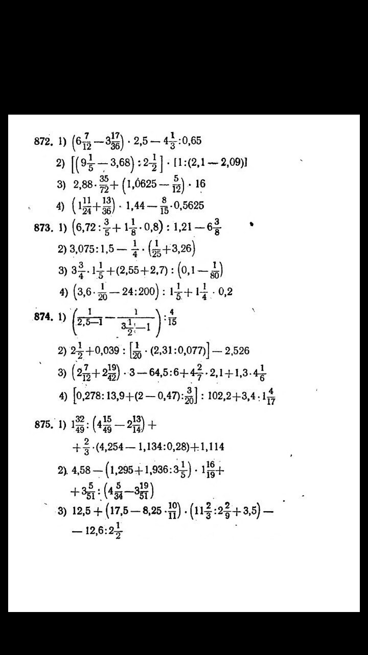
даю максимум баллов!!! помогитееее
Приложения:
Ответы
Автор ответа:
0
1 2452=124/895
215*875
5742/845=457
215*875
5742/845=457
Автор ответа:
0
???
Похожие вопросы
Предмет: Информатика,
автор: shinigami512
Предмет: Математика,
автор: Аноним
Предмет: Литература,
автор: alina16228
Предмет: История,
автор: КристинаУспасская
Предмет: Геометрия,
автор: markart1999