Предмет: Физика,
автор: TatyanaChurakova
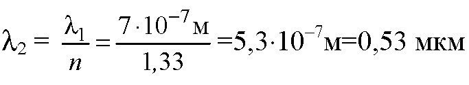
Вода освещена красным светом с длинной волны 728нм. Какова длинна волны этого света в воде, если показатель переломления воды 1,33?
Ответы
Автор ответа:
0
Арт Такое решение Смотрите внизу! фото
Приложения:
Похожие вопросы
Предмет: История,
автор: ulyanova04
Предмет: Литература,
автор: pingvinll
Предмет: Литература,
автор: asanalirahim26
Предмет: Математика,
автор: Sergeytemp
Предмет: Химия,
автор: mikkirainbow