Предмет: Математика,
автор: Tema341
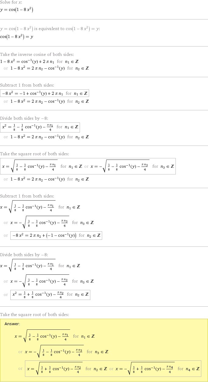
11 пожалуйста срочно
Приложения:
Ответы
Автор ответа:
0
Ответ во вложении, смотри ниже
Приложения:
Автор ответа:
0
6) log4(7-x)=3
log4(7-x)=3,x<7
7-x=4в 3 степени
7-x=64
x=-57,x<7
x=-57
7) 3x2<81
3x2-81<0
3(x2-27)<0
x2-27<0
x2-27=0
x=3в квадратной степени3
x= -3в квадратной степени3
1(x-3в квадратной степени3)*(x-(3)в квадратной степени3)<0
(x-3в квадратной степени3)*(x+3в квадратной степени3)<0
фигурная скобка x-3в квадратной степени3<0
x+3в квадратной степени3>0
фигурная скобка x-3в квадратной степени3>0
x+3в квадратной степени3<0
x<3в квадратной степени3
x<-3в квадратной степени3
x>3в квадратной степени3
x<-3в квадратной степени3
xЭ[33в квадратной степени3,3в квадратной степени3]
xЭ не принадлежит О
xЭ[-3в квадратной степени3,3в квадратной степени3]
log4(7-x)=3,x<7
7-x=4в 3 степени
7-x=64
x=-57,x<7
x=-57
7) 3x2<81
3x2-81<0
3(x2-27)<0
x2-27<0
x2-27=0
x=3в квадратной степени3
x= -3в квадратной степени3
1(x-3в квадратной степени3)*(x-(3)в квадратной степени3)<0
(x-3в квадратной степени3)*(x+3в квадратной степени3)<0
фигурная скобка x-3в квадратной степени3<0
x+3в квадратной степени3>0
фигурная скобка x-3в квадратной степени3>0
x+3в квадратной степени3<0
x<3в квадратной степени3
x<-3в квадратной степени3
x>3в квадратной степени3
x<-3в квадратной степени3
xЭ[33в квадратной степени3,3в квадратной степени3]
xЭ не принадлежит О
xЭ[-3в квадратной степени3,3в квадратной степени3]
Приложения:
Автор ответа:
0
я старался, а не то что человек выше...
Похожие вопросы