Предмет: Математика,
автор: Engri1
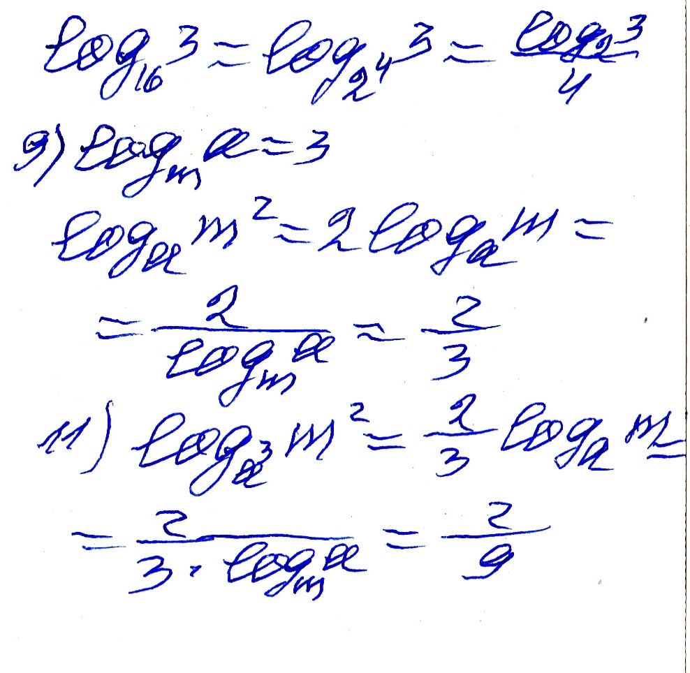
решите,нужно 3 вопроса(1,9,11)
Приложения:
Ответы
Автор ответа:
0
Смотри решение на фото
Приложения:
Автор ответа:
0
если не трудно,то можно еще(15,16,20)
Похожие вопросы
Предмет: Математика,
автор: vladik4403123456
Предмет: Русский язык,
автор: lolachaganiyeva28
Предмет: Қазақ тiлi,
автор: rusmussin
Предмет: Физика,
автор: Mariaefim