Предмет: Алгебра,
автор: SweetKeDTM
Реши это...
наиболее удобным способом
Приложения:
Ответы
Автор ответа:
0
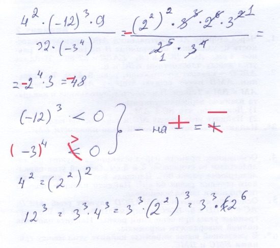
Возможен такой вариант решения
Второй рисунок - новая версия решения.
Второй рисунок - новая версия решения.
Приложения:
Похожие вопросы
Предмет: Қазақ тiлi,
автор: katya36659
Предмет: Геометрия,
автор: boykoyulia888
Предмет: Алгебра,
автор: mitvish
Предмет: История,
автор: ionovamilena
Предмет: Математика,
автор: КсюшаMarat