Предмет: Алгебра,
автор: Аноним
1)Помогите найти число корней в следующем уравнении:

2) Помогите решить уравнение:
Ответы
Автор ответа:
0
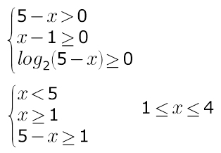
1) ОДЗ: 1≤х≤4
решение - графическое...
нужно ведь не корни найти, а количество корней)))
одна функция монотонно убывает, другая монотонно возрастает,
они если и пересекутся, то всего лишь ОДИН раз.
Ответ: один корень
2) ОДЗ: х>0; x≠1
(log(5)x)³ + 3(log(5)x)² = -2*log(5)x
использована формула перехода к логарифму по новому основанию
(log(5)x)³ + 3(log(5)x)² + 2*log(5)x = 0
log(5)x*((log(5)x)² + 3*log(5)x + 2) = 0
1. log(5)x = 0 ---> x=1 ---посторонний корень (вне ОДЗ)
в скобках --квадратное уравнение относительно log(5)x
по т.Виета корни (-2) и (-1)
log(5)x = -2 ---> x₁ = 0.04
log(5)x = -1 ---> x₂ = 0.2
решение - графическое...
нужно ведь не корни найти, а количество корней)))
одна функция монотонно убывает, другая монотонно возрастает,
они если и пересекутся, то всего лишь ОДИН раз.
Ответ: один корень
2) ОДЗ: х>0; x≠1
(log(5)x)³ + 3(log(5)x)² = -2*log(5)x
использована формула перехода к логарифму по новому основанию
(log(5)x)³ + 3(log(5)x)² + 2*log(5)x = 0
log(5)x*((log(5)x)² + 3*log(5)x + 2) = 0
1. log(5)x = 0 ---> x=1 ---посторонний корень (вне ОДЗ)
в скобках --квадратное уравнение относительно log(5)x
по т.Виета корни (-2) и (-1)
log(5)x = -2 ---> x₁ = 0.04
log(5)x = -1 ---> x₂ = 0.2
Приложения:
Автор ответа:
0
1) ОДЗ : 1 ≤ х < 5
Автор ответа:
0
log(2)(5-4.5) = log(2)(0.5) = log(2)(2^(-1)) = -1 -не может быть равно арифметическому квадратному корню...
Похожие вопросы
Предмет: Биология,
автор: nammkatya
Предмет: Биология,
автор: vojtkovaoksana46
Предмет: Информатика,
автор: zhahongirrustamov
Предмет: Математика,
автор: almekx