Предмет: Алгебра,
автор: Аноним
Плиз помоги пожалуйста
Приложения:
Ответы
Автор ответа:
0
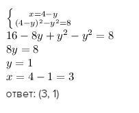
ответ: (3, 1)
Приложения:
Автор ответа:
0
Благодарю
Автор ответа:
0
Бро смотри.
х+y = 4
x^2 - y^2 = 8
x=4-y
(4-y)^2 - y^2 = 8
Решим второе уравнение:
(4-y)^2 - y^2 = 8
4^2 - 2*4*y + y^2 - y^2 = 8
16 - 8y = 8 /*(-1)
-16 + 8y = -8
8y = -8+16
8y = 8 / :8
y = 1
Вернемся к системе:
y = 1
х+y = 4
y = 1
x = 4-y = 4-1 =3
х+y = 4
x^2 - y^2 = 8
x=4-y
(4-y)^2 - y^2 = 8
Решим второе уравнение:
(4-y)^2 - y^2 = 8
4^2 - 2*4*y + y^2 - y^2 = 8
16 - 8y = 8 /*(-1)
-16 + 8y = -8
8y = -8+16
8y = 8 / :8
y = 1
Вернемся к системе:
y = 1
х+y = 4
y = 1
x = 4-y = 4-1 =3
Приложения:
Автор ответа:
0
все верно)
Автор ответа:
0
)0
Автор ответа:
0
Благодарю вас
Автор ответа:
0
Вы лучшие
Автор ответа:
0
))
Похожие вопросы
Предмет: Математика,
автор: ari131211sha
Предмет: Алгебра,
автор: 0tochka0
Предмет: Математика,
автор: vlade54
Предмет: Информатика,
автор: danil20047
Предмет: Математика,
автор: fag122hopi