Предмет: Алгебра,
автор: gizon
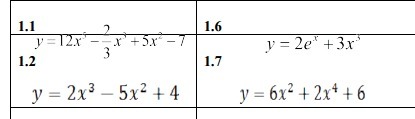
Найти производные следующих функций:
Приложения:
Ответы
Автор ответа:
0
1) 60x^4-2x^2+10x
2) 6x^2-10x
3) 2e^x+15x^4
4) 12x+8x^3
2) 6x^2-10x
3) 2e^x+15x^4
4) 12x+8x^3
Похожие вопросы
Предмет: Английский язык,
автор: Аноним
Предмет: История,
автор: s6773483
Предмет: Математика,
автор: aiwa1015
Предмет: Литература,
автор: katambabes
Предмет: Биология,
автор: MariaFrant