Предмет: Математика, автор: Аноним

Найдите значение выражения:

Приложения:

Ответы

Автор ответа: elinadorc081204
0
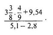
1) 3 3/8 * 4/9=27/8*4/9=3/2
2)3/2+9,54=3/2+477/50=11,04
3)5,1-2,8=3,3
4)11,04:2,3=4,8
Похожие вопросы
Предмет: Математика, автор: Karinastrafun
Предмет: Русский язык, автор: lolikandbolik28
Помогите срочно!!!
В каком примере во всех случаях на месте пропуска пишется буква E?

А1. 1) Крикнешь - н.,кто н… услышит

2) Она н. мало н., скрывала своей скуки.

3) Н., раз солдаты бывали на волосок от гибели.

4) Еще одиннадцатый час, а уже н, куда скроешься от зноя.
А2. В каком примере во всех случаях на месте пропуска пишется буква И?

1) Н. разу они н… обмолвились о происшествии.

2) Лиза проснулась н… свет н… заря.

3) И н кто иной уже не осмеливается с ним спорить.

4) Кто н смотрел на степь ранней весной, н,… раз удивлялся диковинной перемене
А3. В каком примере во всех случаях на месте пропуска пишется буква И? *

1) Куда мы н… ездили, обязательно съездим потом.

2) Что н… говори, а люди неунывающие - лучшая часть рода человеческого.

3) В книге происшествий н… значилось н... одной серьёзной аварии.

4) Каких только чудес н… бывает на свете!
А4В каком примере во всех случаях на месте пропуска пишется буква И? *

1) Метель н…как н… давала возможности продвигаться дальше.

2) Сгорать н… за что - как вы можете, поэт!

3) Когда она была здорова, кого только н… видала её комната!

4) Сколько бы н… пришлось жить на свете, н…когда н… перестанешь удивляться России,
А5В каком примере во всех случаях на месте пропуска пишется буква И? *

1) Об этом нужно говорить н… пять и н… десять раз.

2) Она н… сколько н… удивилась нашему появлению.

3) Сколько волка н… корми, он все в лес смотрит.

4) Отцу я н… мог н… сказать об этом.
А6В каком/-их примере/-ах во всех случаях на месте пропуска пишется буква E?*

1) Без риска для него жизнь н… жизнь.

2) Н… два н… полтора.

3) Какая бы горесть н… лежала на сердце, все рассеется.

4)

4) Отчего же н… пожить недели две в гостях у порядочного человека?

А7 В каком/-их примере/-ах во всех случаях на месте пропуска пишется буква

E?*

1) Всюду, куда н… взглянешь, тянулась без конца бурая равнина.

2) Н…кому иному нельзя пожаловаться.

3) Только н… шевельнуться, н… броситься напролом через кусты.

4) Куда бы нас н… бросила судьбина и счастие куда б н… повело, все те же мы.