Предмет: Алгебра,
автор: иришка98
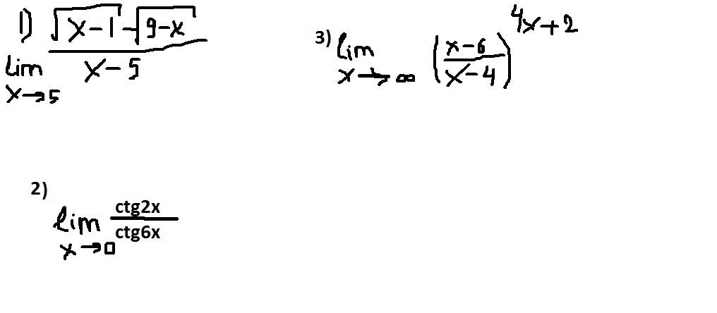
найти пределы функций, очень надо
Приложения:
Ответы
Автор ответа:
0
Ответ ответ ответ ответ ответ
Приложения:
Похожие вопросы
Предмет: Математика,
автор: Pomoshnik201
Предмет: Английский язык,
автор: kanatbergenkyzybegim
Предмет: Математика,
автор: kiiigiti
Предмет: Математика,
автор: Аноним
Предмет: История,
автор: АНГЕЛИНКА44